+86-28-82633987sales@biopurify.com
cnen
  • iso9001 iso9001
  • iso17025 iso17025
  • usp usp
Alternate Text
Home > Product Catalog > Botanical Source > Polygalae radix

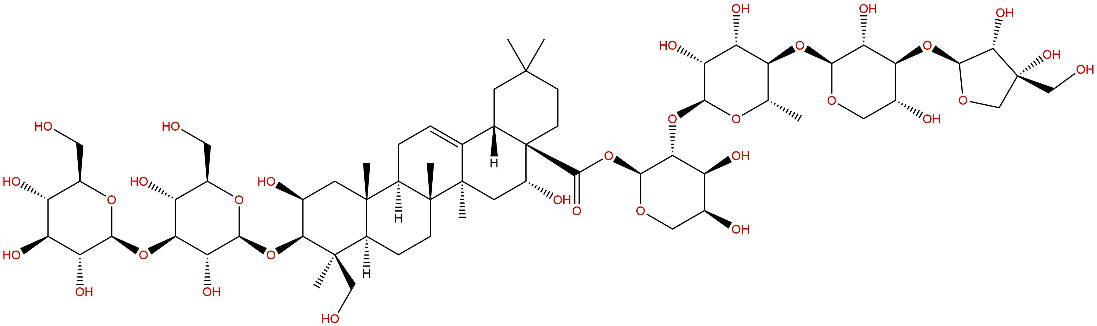
Polygalacin D2

CAS No.:66663-92-1
Polygalacin D2
Catalogue No.: BP5609
Formula: C63H102O32
Mol Weight: 1371.48
Botanical Source: Polygalae radix
Contacts
+86-28-82633860  +86-18080483897
skype skype
Email: sales@biopurify.com biopurify@gmail.com

Polygalacin D2

CAS No.:66663-92-1

Polygalacin D2
Catalogue No.: BP5609
Formula: C63H102O32
Mol Weight: 1371.48
Contacts
+86-28-82633860  +86-18080483897
skype skype
Email: sales@biopurify.com biopurify@gmail.com
Over 15 years of industry experience in phytochemicals from R&D(reference substances) to Industrialization, please feel free to contact us!

Polygalacin D2 SKU Information

Polygalacin D2 Descrtption

Product name: Polygalacin D2
Synonym name:
Catalogue No.: BP5609
Cas No.: 66663-92-1
Formula: C63H102O32
Mol Weight: "1,371.48"
Botanical Source: Polygalae radix
Type of Compound: Triterpenoids

Purity: 95%~99%
Analysis Method: HPLC-DAD or/and HPLC-ELSD
Identification Method: Mass, NMR
Packing: Brown vial or HDPE plastic bottle

Storage: Store in a well closed container, protected from air and light. Put into refrigerate or freeze for long term storage.
Whenever possible, you should prepare and use solutions on the same day. However, if you need to make up stock solutions in advance, we recommend that you store the solution as aliquots in tightly sealed vials at -20℃. Generally, these will be useable for up to two weeks.

The product could be supplied from milligrams to grams
Inquire for bulk scale.

For Reference Standard and R&D, Not for Human Use Directly.